
Diese Veranstaltung wird aufgezeichnet. Das Audiosignal Ihrer Wortmeldungen wird aufgezeichnet. Ihr Videosignal wird nicht aufgezeichnet.
Leistungsnachweis

Zusammenhang mit Lehrbuch
Der Zusammenhang mit dem Lehrbuch ist durch das Kapitel «Episodisches Gedächtnis: Organisieren und Erinnern» gegeben, welches ausführlich auf das Konzept der «Levels of Processing» eingeht.
Hintergrund: LoP ➞ Tiefere semantische Verarbeitung = bessere Erinnerung
Forschungsfrage: Trifft LoP auch auf perzeptuelle Eigenschaften von visuellen Reizen zu?
Ovalle-Fresa et al. (2021)
Insgesamt 4 Experimente
Exp. 3: N = 58 (M = 22 Jahre, SD = 3.38)
Exp. 4: N = 59 (M = 23.53 Jahre, SD = 3.52)
Einfaktorielles Innersubjekt-Design
Ovalle-Fresa et al. (2021)


Ovalle-Fresa et al. (2021)
Sun et al. (2017)
Ovalle-Fresa et al. (2021)
Erkenntnis
Selbstreferenz (z.B. Rogers et al., 1977)
Persönlich relevantes Material wird besser erinnert als neutrales Material (z.B. Levine & Edelstein, 2009)
Relevanz
Farbe ist für eine Aufgabe (Gefallensurteil) relevant, aber nicht für die andere
Dubravac et al. (submitted)
Dubravac et al. (submitted)
Kodierungsphase: Aufgabe zur Grösse
Dubravac et al. (submitted)
Oberflächlich
Tief
kleiner
grösser
kleiner


grösser


Dubravac et al. (submitted)
Vorhersage
Tiefe Verarbeitung führt zu besseren Leistungen als oberflächliche Verarbeitung!
Dubravac et al. (submitted)
Dubravac et al. (submitted)
Tipp
Dubravac et al. (submitted)
Worin sehen Sie Gemeinsamkeiten und Unterschiede?
Text Text
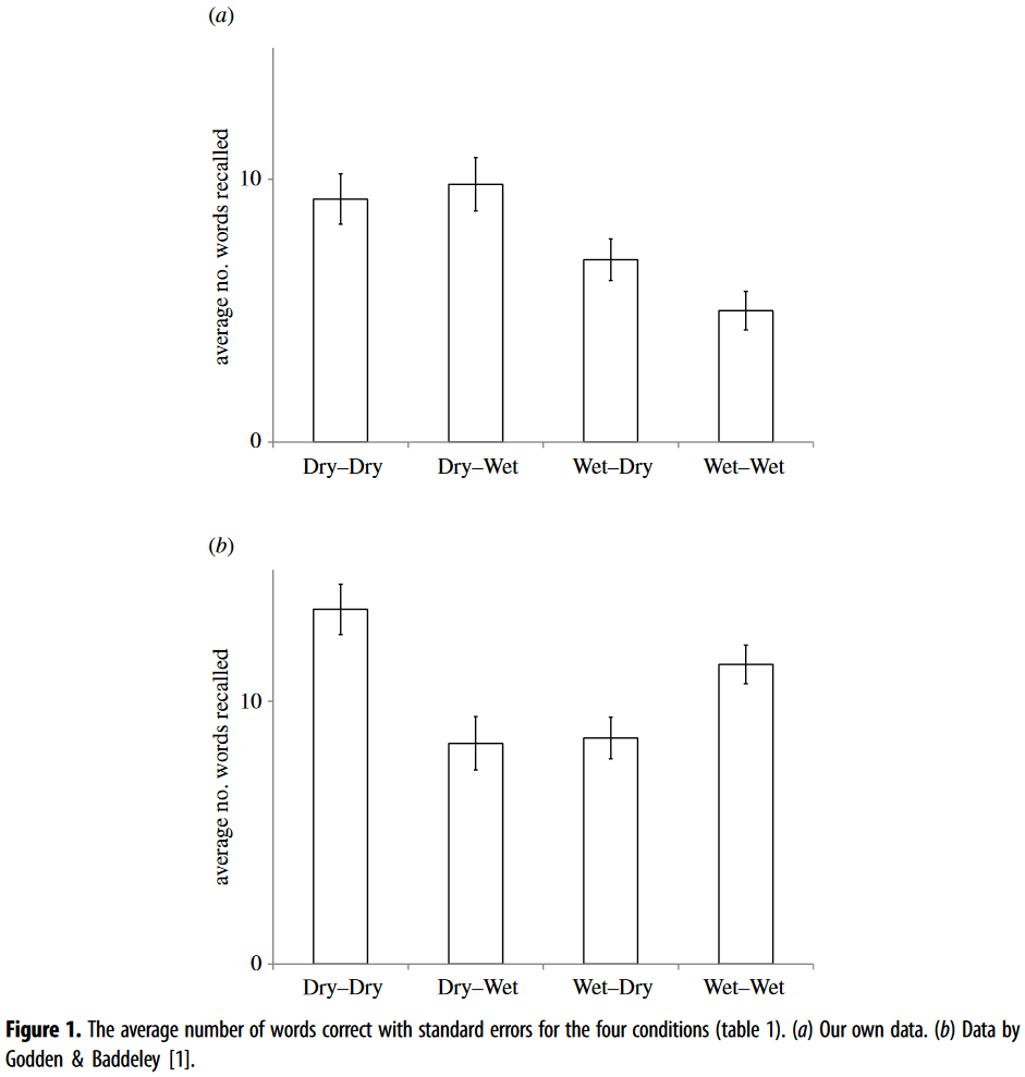
Kann man den Gedächtnisabruf verbessern, indem man mental in den Lernzustand oder die Lernumgebung zurückkehrt?
Text: Text




Baddeley et al. (2020), S. 262, Abbildung 8.4
Auf welchem experimentellen Paradigma beruht die Signaldetektion?
Bildplagiat!


